目录一、为什么叫松散队列?二、如何实现线程安全?add入队操作poll出队操作三、优缺点一、为什么叫松散队列?
目录ConcurrentLinkedQueue介绍主要内部类Node构造方法入队出队总结ConcurrentLinkedQueue介绍
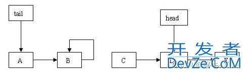
目录一、简介二、结构三、入队四、出列五、ConcurrentLinkedQueue使用特点一、简介
目录ConcurrentLinkedQueue 详解核心函数分析ConcurrentLinkedQueue适合的场景ConcurrentLinkedQueue 详解
I am reading the tutorials on w3cschools ( http://www.w3schools.com/schema/schema_complex.asp ) but they don\'t seem to mention how you could add restrictions on complex types.