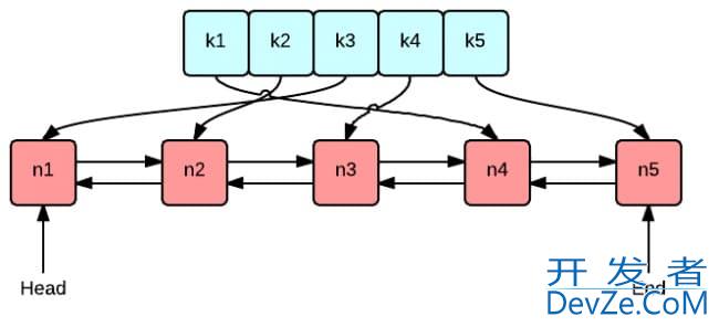
目录GO实现Redis的LRU例子1.FIFO/LFU/LRU算法简介2.LRU算法实现2.1核心数据结构2.2查找功能2.3删除2.4新增或修改GO实现Redis的LRU例子
SVG DOM can be controlled with JavaScript, so it开发者_StackOverflow can be AJAX-enabled... I wonder if there are some SVG components for Wicket yet. And if Wicket can have pure xml/svg as the output